56 MİLYARLIK DEV İHALE
ABB tarafından yayımlanan resmi ilana göre, Yeni Mamak Kentsel Dönüşüm ve Gelişim Projesi kapsamında yapılacak işin toplam tahmini bedeli 56.630.759.636 TL olarak belirlendi. İhale, 29 Ocak 2026 Perşembe günü saat 14.30’da, Ankara Büyükşehir Belediyesi Encümen Salonu’nda, kapalı teklif usulüyle gerçekleştirilecek.
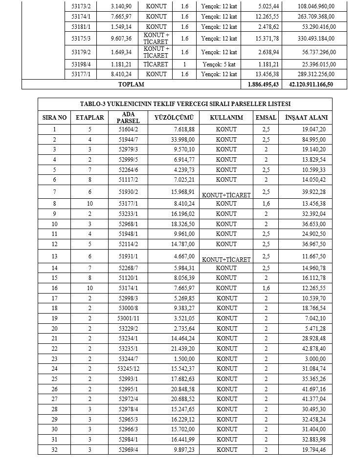
İhale kapsamında toplam 2 milyon 561 bin 372 metrekareyi aşan emsale esas inşaat alanı, 109 ayrı parsel üzerinden satışa ve kat karşılığı inşaata konu edildi. Yeşilbayır, Köstence-Tepecik, Tepecik-Dostlar, Dutluk, Derbent, Üreğil ve Boğaziçi gibi Mamak’ın farklı mahallelerini kapsayan bu geniş alan, “kentsel dönüşüm” adı altında büyük bir arsa tasarrufunun önünü açtı.

PASTANIN BÜYÜK DİLİMİ YÜKLENİCİYE
İhalenin mali ve mekânsal dağılımı ise kamu yararından çok yüklenici lehine bir tabloyu gözler önüne serdi. Proje kapsamında belediyeye teslim edilecek inşaat alanı 674 bin 876 metrekare ile sınırlı tutulurken, ihaleyi kazanacak firmaya bırakılacak alan bunun yaklaşık üç katına ulaşarak 1 milyon 886 bin 495 metrekare olarak belirlendi. Yüklenici hissesine düşen parsellerin toplam tahmini bedelinin 42 milyar 120 milyon TL’yi aşması dikkat çekerken, belediyeye kalan parsellerin değeri ise 14 milyar 509 milyon TL seviyesinde kaldı.
Ortaya çıkan bu dağılım, ABB yönetiminin kentsel dönüşümü konut üretiminden çok arsa satışı ve kat karşılığı projeler için bir finansman aracı olarak kullandığı eleştirilerini yeniden gündeme taşıdı. Hak sahipleri yıllardır konut beklerken, kamunun payının sınırlı tutulması ve pastanın büyük diliminin yükleniciye bırakılması, “öncelik konut mu, satış mı?” sorusunu bir kez daha gündeme getirdi.

15 BİN KONUTLUK PROJE 6 YILDIR YERİNDE SAYIYOR
AK Parti döneminde başlatılan 15 bin konutluk Mamak Kentsel Dönüşüm Projesi’nde, 2014–2019 yılları arasında yaklaşık 5 bin konut hak sahiplerine teslim edildi. Ancak 2019’da göreve gelen Mansur Yavaş’ın “kalan 10 bin konutu hızla teslim edeceğiz” vaadine rağmen, 7 yılda sadece 418 konut teslim edilebildi.
Bugün itibarıyla 8 bin 620 hak sahibi, yıllardır evlerine kavuşmayı bekliyor. Mağdurlar, ABB yönetimini “vaat var, icraat yok” sözleriyle eleştirirken; projede ilerleme olmadığını, müteahhitlerin işi bıraktığını ve şantiyelerde inşaat malzemelerinin çürümeye terk edildiğini dile getiriyor.

MAMAK’TA 7 MİLYAR 898 MİLYON TL HARCANDI, SADECE 418 KONUT TESLİM EDİLDİ
Mamak’taki kentsel dönüşüm sürecinin mali tablosu, kaynakların nasıl verimsiz kullanıldığını gözler önüne seriyor. 2013 yılında kentsel dönüşüm alanı ilan edilen bölgede, 2014-2019 yılları arasındaki AK Parti döneminde 5.500 konut tamamlanarak hak sahiplerine teslim edilmişti. Ancak Mansur Yavaş dönemiyle birlikte süreç adeta kaosa sürüklendi. 2021 yılında 4.477 konut için açılan 907 milyon TL’lik ihale, “teknik revizyon” bahanesiyle iptal edilerek proje parçalandı.
İlk ihale bedelinin bugünkü karşılığı 4,49 milyar TL iken, işin belediye iştiraki PORTAŞ‘a devredilmesiyle maliyetler katlandı. PORTAŞ’a yapılan 683,5 milyon TL’lik ödemenin ardından imzalanan üç ayrı ek protokolle (735 milyon TL, 2,298 milyar TL ve 158 milyon TL) toplam harcama yaklaşık 7,9 milyar TL seviyesine ulaştı. Ankara halkının cebinden çıkan bu devasa bütçeye rağmen, 6 yıllık Yavaş döneminde teslim edilebilen konut sayısı sadece 418’de kaldı.

ÖNCEKİ SATIŞLAR DA SONUÇ VERMEDİ
ABB, daha önce de Mamak Boğaziçi Mahallesi’nde hak sahiplerine taahhüt edilen konutların finansmanı gerekçesiyle 807 milyon TL’lik arsa satışı gerçekleştirmişti. Ayrıca Çankaya Dikmen Mahallesi’ndeki taşınmazların satışı, Dikmen Vadisi Son Etap Kentsel Dönüşüm Projesi için finansman gerekçesiyle yapılmıştı. Ancak bu satışlara rağmen projelerde somut bir ilerleme sağlanamadı.
Öte yandan ABB iştiraki Portaş A.Ş.’nin Susuz Mahallesi’nde başlattığı konut projesi, finansal kriz ve yüklenici anlaşmazlıkları nedeniyle aylarca durdu. Henüz temel atılmadan daire başına 3,5 milyon TL peşinat ödeyen yüzlerce vatandaş, atıl şantiye nedeniyle mağdur edildi.

















