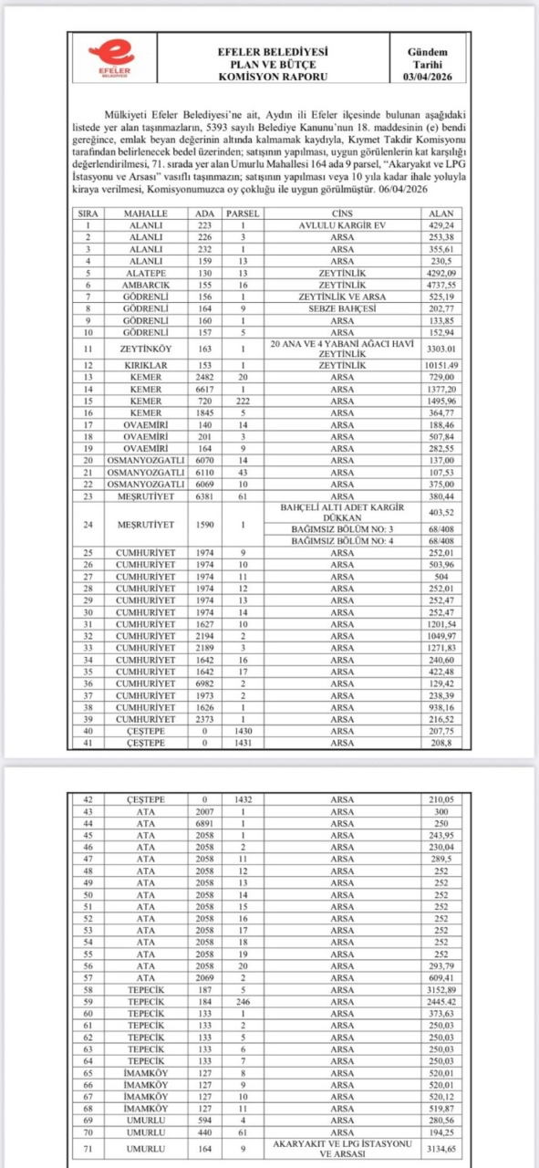
Belediyeye ait akaryakıt istasyonu, dükkan, iş yeri, arsa ve zeytinliklerden oluşan 71 taşınmaz için Başkan Anıl Yetişkin’e verilen yetki, Cumhur İttifakı meclis üyelerinin itirazlarına rağmen CHP’li üyelerin oy çokluğuyla kabul edildi. Karar, “Efeler’in geleceği mi satılıyor?” sorusunu beraberinde getirdi.
LA PERLA PROJESİ: TARTIŞMALI KARARLAR ZİNCİRİ
CHP’li yönetimin en çok eleştirildiği başlıkların başında ise La Perla Projesi geliyor. İmar ve yönetmeliklere aykırı olduğu iddialarıyla gündeme gelen, hakkında müfettiş incelemesi süren projeye iskan verilmesi kamuoyunda “hukuki riskler göz ardı mı edildi?” sorusunu doğurdu.
Başkan Anıl Yetişkin’in daha önce “Günahı bana ait” diyerek sorumluluğu üstlenmesi, eleştirileri yatıştırmak yerine daha da büyüttü. Üstelik projede yer alan 53 taşınmazın satışına yönelik alınan yetkiye rağmen bugüne kadar sadece 17’sinin satılabilmiş olması, yönetimin planlama ve öngörü konusundaki zafiyetini gözler önüne serdi.

“BELEDİYE MÜLK SATA SATA MI YÖNETİLECEK?”
MHP Grup Sözcüsü Mehmet Uysal’ın meclis kürsüsünden yaptığı uyarılar, tartışmanın özünü ortaya koydu. Uysal, belediyenin sürekli gayrimenkul satarak borç kapatma yönteminin sürdürülebilir olmadığını belirterek, bu yaklaşımın Efeler’in geleceğini ipotek altına aldığını dile getirdi.
Muhalefete göre CHP’li yönetim, üretim, yatırım ve gelir artırıcı projeler geliştirmek yerine “elden çıkarma” politikası izliyor. Bu durum da belediyenin mali yapısını güçlendirmek yerine, varlıklarını azaltarak geçici rahatlama sağlamasına neden oluyor.
KAT KARŞILIĞI ORANLARDAKİ DÜŞÜŞ TEPKİ ÇEKİYOR
La Perla Projesi’ndeki kat karşılığı oranlarının düşüklüğü de CHP’li yönetimin eleştirildiği bir diğer başlık. Başlangıçta yüzde 35 olarak ifade edilen oranların fiiliyatta yüzde 29 seviyelerine kadar gerilediği iddiaları, kamu zararına yol açıldığı yönündeki tartışmaları güçlendirdi.
Muhalefet, belediyenin elindeki değerli arsaları yeterince koruyamadığını ve kamu yararını ikinci plana ittiğini savunuyor.

GELİR ÜRETMEK YERİNE GELİRDEN VAZGEÇİLDİĞİ İDDİASI
Eleştiriler yalnızca satış politikasıyla sınırlı değil. Belediyenin mevcut gelir kaynaklarını etkin kullanamaması da ciddi bir sorun olarak öne çıkıyor.
Kemer Mahallesi’ndeki tenis kortlarının yıllardır ihale edilmemesi nedeniyle yaklaşık 50-60 milyon TL’lik kira gelirinin kaybedildiği iddiaları, yönetimin pasif kaldığı yönünde yorumlanıyor. Aynı şekilde jeotermal firmalara uygulanmadığı belirtilen cezai işlemler nedeniyle yaklaşık 50 milyon TL’lik bir alacağın tahsil edilememesi de “kaynak yönetimi zaafı” olarak değerlendiriliyor.
HİZMETTE GERİLİK, AYRICALIKTA HIZ
CHP’li yönetim, hizmet üretimi konusunda da eleştirilerin hedefinde. İddialara göre Efeler genelinde asfalt ve altyapı çalışmaları yetersiz kalırken, La Perla Projesi’nin bulunduğu sokakta özel asfalt ve duba uygulaması yapılması “öncelik kime veriliyor?” sorusunu gündeme taşıdı.
Tüm bu gelişmeler, Efeler Belediyesi’nin mali yönetimi ve öncelikleri konusunda ciddi soru işaretleri doğuruyor. Muhalefete göre CHP’li yönetim, uzun vadeli ve sürdürülebilir çözümler üretmek yerine, belediyeye ait varlıkları satarak günü kurtarmaya çalışıyor.
Önümüzdeki süreçte hem La Perla Projesi’ne ilişkin müfettiş incelemesinin sonucu hem de satışına karar verilen 71 taşınmazın akıbeti, Efeler’de siyasi tartışmaların merkezinde yer almaya devam edecek.















